Featured image of post Credit Risk Analysis

Credit Risk Analysis

Algoritma Team

Finance

Credit Risk Analysis

Background

Credit scoring merupakan sistem yang digunakan oleh bank atau lembaga keuangan lain untuk menentukan apakah seorang nasabah layak atau tidak mendapatkan pinjaman. Credit scoring membutuhkan berbagai data profil calon peminjam sehingga tingkat resiko dapat dihitung dengan tepat. Semakin tepat dan lengkap data yang disediakan, maka semakin akurat perhitungan yang dilakukan.

Proses tersebut tentunya merupakan hal yang baik, namun di sisi calon peminjam proses yang harus dilalui dirasa sangat merepotkan dan membutuhkan waktu untuk menunggu dan seiring tingginya tingkat kompetisi yang ada di industri finansial, menjadikan nasabah memiliki banyak alternatif. Semakin cepat proses yang ditawarkan, semakin tinggi kesempatan untuk mendapatkan peminjam.

Tantangan pun muncul, bagaimana mendapatkan peminjam dengan proses yang efisien namun akurasi dari credit scoring tetap tinggi. Disinilah machine learning dapat membantu menganalisa data-data profil peminjam dan proses pembayaran sehingga dapat mengetahui profil peminjam yang memiliki peluang besar untuk melunasi pinjaman dengan lancar.

Harapannya setelah mempunyai model machine learning dengan perfomance model yang baik, pegawai bank dapat dengan mudah mengidentifikasi karakteristik customer yang memiliki peluang besar untuk melunasi pinjaman dengan lancar. Dengan adanya model machine learning ini tentunya akan mengurangi biaya dan waktu yang lebih cepat.

Modelling Analysis

Cleaning data

1
2
credit <- read_csv("credit_record.csv")
application <- read_csv("application_record.csv")

Data Description:

Credit

  • ID : Client number
  • MONTHS_BALANCE : Record month The month of the extracted data is the starting point, backwards, 0 is the current month, -1 is the previous month, and so on
  • STATUS : Status
    • 0: 1-29 days past due
    • 1: 30-59 days past due
    • 2: 60-89 days overdue
    • 3: 90-119 days overdue
    • 4: 120-149 days overdue
    • 5: Overdue or bad debts, write-offs for more than 150 days
    • C: paid off that month
    • X: No loan for the month

Application

  • ID : Client number
  • CODE_GENDER : Gender
  • FLAG_OWN_CAR : Is there a car
  • FLAG_OWN_REALTY ; Is there a property
  • CNT_CHILDREN : Number of children
  • AMT_INCOME_TOTAL : Annual income
  • NAME_INCOME_TYPE : Income category
  • NAME_EDUCATION_TYPE : Education level
  • NAME_FAMILY_STATUS : Marital status
  • NAME_HOUSING_TYPE : Way of living
  • DAYS_BIRTH : Birthday Count backwards from current day (0), -1 means yesterday
  • DAYS_EMPLOYED : Start date of employment Count backwards from current day(0). If positive, it means - - the person currently unemployed.
  • FLAG_MOBIL : Is there a mobile phone
  • FLAG_WORK_PHONE : Is there a work phone
  • FLAG_PHONE : Is there a phone
  • FLAG_EMAIL : Is there an email
  • OCCUPATION_TYPE : Occupation
  • CNT_FAM_MEMBERS :Family size

Check missing values

Pada data credit tidak terdapat missing value

1
colSums(is.na(credit))
1
2
#>             ID MONTHS_BALANCE         STATUS 
#>              0              0              0
1
colSums(is.na(application))
 1
 2
 3
 4
 5
 6
 7
 8
 9
10
#>                  ID         CODE_GENDER        FLAG_OWN_CAR     FLAG_OWN_REALTY 
#>                   0                   0                   0                   0 
#>        CNT_CHILDREN    AMT_INCOME_TOTAL    NAME_INCOME_TYPE NAME_EDUCATION_TYPE 
#>                   0                   0                   0                   0 
#>  NAME_FAMILY_STATUS   NAME_HOUSING_TYPE          DAYS_BIRTH       DAYS_EMPLOYED 
#>                   0                   0                   0                   0 
#>          FLAG_MOBIL     FLAG_WORK_PHONE          FLAG_PHONE          FLAG_EMAIL 
#>                   0                   0                   0                   0 
#>     OCCUPATION_TYPE     CNT_FAM_MEMBERS 
#>              134203                   0

Pada data application terdapat variabel OCCUPATION_TYPE yang memiliki banyak data missing, kita dapat membuang variabel tersebut. Serta kita akan membuang variabel DAYS_BIRTH dan DAYS_EMPLOYED yang tidak dibutuhkan pada model.

1
2
application <- application %>% 
               select(-c(OCCUPATION_TYPE, DAYS_BIRTH, DAYS_EMPLOYED))

Menyesuaikan tipe data

Tahap berikutnya adalah menggabungkan data credit dan application serta menyesuaikan tipe data kategorik yang masih terbaca sebagai character.

 1
 2
 3
 4
 5
 6
 7
 8
 9
10
11
data_clean <- credit %>% 
              left_join(application) %>% 
              na.omit() %>% 
              select(-ID) %>% 
              filter(STATUS != "X") %>% 
              mutate(STATUS = as.factor(ifelse(STATUS == "C", "good credit", "bad credit"))) %>% 
              mutate_at(.vars = c("FLAG_MOBIL", "FLAG_WORK_PHONE",
                                  "FLAG_PHONE", "FLAG_EMAIL"), as.factor) %>% 
              mutate_if(is.character, as.factor) %>% 
              data.frame()
str(data_clean)
 1
 2
 3
 4
 5
 6
 7
 8
 9
10
11
12
13
14
15
16
17
#> 'data.frame':	631765 obs. of  16 variables:
#>  $ MONTHS_BALANCE     : num  0 -1 -2 -3 -4 -5 -6 -7 -8 -9 ...
#>  $ STATUS             : Factor w/ 2 levels "bad credit","good credit": 2 2 2 2 2 2 2 2 2 2 ...
#>  $ CODE_GENDER        : Factor w/ 2 levels "F","M": 2 2 2 2 2 2 2 2 2 2 ...
#>  $ FLAG_OWN_CAR       : Factor w/ 2 levels "N","Y": 2 2 2 2 2 2 2 2 2 2 ...
#>  $ FLAG_OWN_REALTY    : Factor w/ 2 levels "N","Y": 2 2 2 2 2 2 2 2 2 2 ...
#>  $ CNT_CHILDREN       : num  0 0 0 0 0 0 0 0 0 0 ...
#>  $ AMT_INCOME_TOTAL   : num  427500 427500 427500 427500 427500 ...
#>  $ NAME_INCOME_TYPE   : Factor w/ 5 levels "Commercial associate",..: 5 5 5 5 5 5 5 5 5 5 ...
#>  $ NAME_EDUCATION_TYPE: Factor w/ 5 levels "Academic degree",..: 2 2 2 2 2 2 2 2 2 2 ...
#>  $ NAME_FAMILY_STATUS : Factor w/ 5 levels "Civil marriage",..: 1 1 1 1 1 1 1 1 1 1 ...
#>  $ NAME_HOUSING_TYPE  : Factor w/ 6 levels "Co-op apartment",..: 5 5 5 5 5 5 5 5 5 5 ...
#>  $ FLAG_MOBIL         : Factor w/ 1 level "1": 1 1 1 1 1 1 1 1 1 1 ...
#>  $ FLAG_WORK_PHONE    : Factor w/ 2 levels "0","1": 2 2 2 2 2 2 2 2 2 2 ...
#>  $ FLAG_PHONE         : Factor w/ 2 levels "0","1": 1 1 1 1 1 1 1 1 1 1 ...
#>  $ FLAG_EMAIL         : Factor w/ 2 levels "0","1": 1 1 1 1 1 1 1 1 1 1 ...
#>  $ CNT_FAM_MEMBERS    : num  2 2 2 2 2 2 2 2 2 2 ...

Exploratory Data Analysis (EDA)

Pada data EDA kita ingin mengetahui bagaimana sebaran data kategorik maupun numerik.

1
data_clean %>% inspect_cat() %>% show_plot()
Pada visualisasi berikut kita akan mendapatkan informasi apakah terdapat variabel yang tidak memiliki banyak informasi pada data, contohnya adalah variabel `FLAG_MOBIL` dimana keseluruhan data berisikan 1, artinya semua nasabah kita yang melakukan pinjaman memiliki mobil. Data yang tidak memiliki variansi seperti ini tidak diikutsertakan pada model.
1
2
data_clean <- data_clean %>% 
              select(-c(FLAG_MOBIL,FLAG_EMAIL))
1
data_clean %>% inspect_num() %>% show_plot()

Modelling Random Forest

Split data train dan data test dengan proporsi 80:20. Data train akan digunakan untuk modelling, sedangkan data test akan digunakan untuk evaluasi.

1
2
3
4
set.seed(100)
index <- initial_split(data = data_clean, prop = 0.8, strata = "STATUS")
train <- training(index)
test <- testing(index)

Cek proporsi dari target variabel

1
prop.table(table(train$STATUS))
1
2
3
#> 
#>  bad credit good credit 
#>   0.4960937   0.5039063

Bentuk model random forest dengan 3 k-fold dan 2 repetition

 1
 2
 3
 4
 5
 6
 7
 8
 9
10
11
12
13
14
15
# set.seed(100)
# 
# ctrl <- trainControl(method = "repeatedcv",
#                      number = 3, 
#                      repeats = 2,
#                      allowParallel=FALSE)
# 
# model_forest <- caret::train(STATUS ~.,
#                              data = train, 
#                              method = "rf", 
#                              trControl = ctrl)

#saveRDS(model_forest, "model_forest.RDS")

model_forest <- readRDS("model_forest.RDS")
1
model_forest
 1
 2
 3
 4
 5
 6
 7
 8
 9
10
11
12
13
14
15
16
17
18
#> Random Forest 
#> 
#> 80001 samples
#>    13 predictor
#>     2 classes: 'bad credit', 'good credit' 
#> 
#> No pre-processing
#> Resampling: Cross-Validated (3 fold, repeated 2 times) 
#> Summary of sample sizes: 53335, 53334, 53333, 53334, 53334, 53334, ... 
#> Resampling results across tuning parameters:
#> 
#>   mtry  Accuracy   Kappa    
#>    2    0.6432232  0.2846367
#>   14    0.7487656  0.4973803
#>   26    0.7114411  0.4230518
#> 
#> Accuracy was used to select the optimal model using the largest value.
#> The final value used for the model was mtry = 14.

Setelah dilakukan 3 repetition pada model, repetition kedua memiliki accuracy paling tinggi dengan jumlah mtry sebanyak 14.

Selanjutnya akan dilakukan prediksi untuk data test dan mencari nilai confusion matrix pada hasil prediksi.

 1
 2
 3
 4
 5
 6
 7
 8
 9
10
11
12
13
14
pred_rf <- predict(model_forest, newdata = test, type = "prob") %>% 
          mutate(result = as.factor(ifelse(`bad credit` > 0.45, "bad credit", "good credit")),
                 actual = ifelse(test$STATUS == 'good credit', 0, 1))
confmat_rf <- confusionMatrix(pred_rf$result, 
                                 test$STATUS,
                                 mode = "prec_recall",
                                 positive = "bad credit")

eval_rf <- tidy(confmat_rf) %>% 
  mutate(model = "Random Forest") %>% 
  select(model, term, estimate) %>% 
  filter(term %in% c("accuracy", "precision", "recall", "specificity"))

eval_rf
1
2
3
4
5
6
7
#> # A tibble: 4 × 3
#>   model         term        estimate
#>   <chr>         <chr>          <dbl>
#> 1 Random Forest accuracy       0.812
#> 2 Random Forest specificity    0.815
#> 3 Random Forest precision      0.811
#> 4 Random Forest recall         0.809

Modelling XGBoost

Tahap selanjutnya kita akan implementasikan data menggunakan model XGBoost, kita perlu menyiapkan data untuk model XGBoost terlebih dahulu

1
2
3
data_xgb <- data_clean %>% 
            mutate(STATUS = ifelse(STATUS == "good credit", 0, 1)) %>% 
            data.frame()
1
2
3
4
set.seed(100)
index <- initial_split(data = data_xgb, prop = 0.8, strata = "STATUS")
train_xgb <- training(index)
test_xgb <- testing(index)
1
2
label_train <- as.numeric(train_xgb$STATUS)
label_test <- as.numeric(test_xgb$STATUS)
1
2
3
4
5
train_matrix <- data.matrix(train_xgb[,-2])
test_matrix <- data.matrix(test_xgb[,-2])
# convert data to Dmatrix
dtrain <- xgb.DMatrix(data = train_matrix, label = label_train)
dtest <- xgb.DMatrix(data = test_matrix, label = label_test)
1
2
3
4
5
6
7
8
params <- list(booster = "gbtree",
               objective = "binary:logistic",
               eta=0.7, 
               gamma=10, 
               max_depth=10, 
               min_child_weight=3, 
               subsample=1, 
               colsample_bytree=0.5)
1
2
3
4
5
6
7
8
9
xgbcv <- xgb.cv( params = params, 
                 data = dtrain,
                 nrounds = 1000, 
                 showsd = T, 
                 nfold = 10,
                 stratified = T, 
                 print_every_n = 50, 
                 early_stopping_rounds = 20, 
                 maximize = F)
 1
 2
 3
 4
 5
 6
 7
 8
 9
10
11
12
13
14
15
16
17
18
19
20
21
22
23
24
#> [1]	train-logloss:0.658662+0.007933	test-logloss:0.661058+0.006557 
#> Multiple eval metrics are present. Will use test_logloss for early stopping.
#> Will train until test_logloss hasn't improved in 20 rounds.
#> 
#> [51]	train-logloss:0.499070+0.002877	test-logloss:0.522102+0.005311 
#> [101]	train-logloss:0.484907+0.002400	test-logloss:0.511246+0.005861 
#> [151]	train-logloss:0.479035+0.002541	test-logloss:0.506482+0.006336 
#> [201]	train-logloss:0.475424+0.001885	test-logloss:0.503721+0.005527 
#> [251]	train-logloss:0.472145+0.001382	test-logloss:0.501116+0.004776 
#> [301]	train-logloss:0.469895+0.000887	test-logloss:0.499619+0.004786 
#> [351]	train-logloss:0.468053+0.000621	test-logloss:0.498204+0.004675 
#> [401]	train-logloss:0.466677+0.000615	test-logloss:0.497064+0.004712 
#> [451]	train-logloss:0.465230+0.001051	test-logloss:0.495919+0.004776 
#> [501]	train-logloss:0.463936+0.001203	test-logloss:0.495003+0.004136 
#> [551]	train-logloss:0.462722+0.001080	test-logloss:0.494104+0.004121 
#> [601]	train-logloss:0.462171+0.001191	test-logloss:0.493726+0.004162 
#> [651]	train-logloss:0.461517+0.001091	test-logloss:0.493349+0.004292 
#> [701]	train-logloss:0.461138+0.001122	test-logloss:0.493079+0.004226 
#> [751]	train-logloss:0.460702+0.001232	test-logloss:0.492759+0.004191 
#> [801]	train-logloss:0.460177+0.001332	test-logloss:0.492256+0.004187 
#> [851]	train-logloss:0.459702+0.000982	test-logloss:0.491947+0.004133 
#> [901]	train-logloss:0.459231+0.000911	test-logloss:0.491621+0.004155 
#> [951]	train-logloss:0.458708+0.000952	test-logloss:0.491276+0.004243 
#> [1000]	train-logloss:0.458331+0.001051	test-logloss:0.491019+0.004244
1
print(xgbcv)
 1
 2
 3
 4
 5
 6
 7
 8
 9
10
11
12
13
14
15
16
17
18
19
20
21
22
23
24
25
26
27
28
#> ##### xgb.cv 10-folds
#>     iter train_logloss_mean train_logloss_std test_logloss_mean
#>        1          0.6586617       0.007932747         0.6610580
#>        2          0.6261109       0.014786739         0.6318969
#>        3          0.6127767       0.018208261         0.6200069
#>        4          0.5954663       0.014391087         0.6041849
#>        5          0.5854660       0.014752739         0.5949785
#> ---                                                            
#>      996          0.4583978       0.001032491         0.4910331
#>      997          0.4583400       0.001056519         0.4910225
#>      998          0.4583307       0.001051172         0.4910193
#>      999          0.4583307       0.001051173         0.4910193
#>     1000          0.4583307       0.001051172         0.4910193
#>     test_logloss_std
#>          0.006557291
#>          0.013925367
#>          0.017604226
#>          0.014605105
#>          0.013268623
#> ---                 
#>          0.004250393
#>          0.004241653
#>          0.004244270
#>          0.004244261
#>          0.004244259
#> Best iteration:
#>  iter train_logloss_mean train_logloss_std test_logloss_mean test_logloss_std
#>  1000          0.4583307       0.001051172         0.4910193      0.004244259
1
2
3
4
5
6
7
8
9
xgb1 <- xgb.train (params = params, 
                   data = dtrain, 
                   nrounds = xgbcv$best_iteration, 
                   watchlist = list(val=dtest,train=dtrain),
                   print_every_n = 100, 
                   early_stoping_rounds = 10, 
                   maximize = F , 
                   eval_metric = "error",
                   verbosity = 0)
 1
 2
 3
 4
 5
 6
 7
 8
 9
10
11
#> [1]	val-error:0.410279	train-error:0.400343 
#> [101]	val-error:0.255587	train-error:0.238428 
#> [201]	val-error:0.249188	train-error:0.231015 
#> [301]	val-error:0.247088	train-error:0.227503 
#> [401]	val-error:0.246588	train-error:0.224928 
#> [501]	val-error:0.246388	train-error:0.224478 
#> [601]	val-error:0.245038	train-error:0.222828 
#> [701]	val-error:0.243438	train-error:0.222065 
#> [801]	val-error:0.243088	train-error:0.221553 
#> [901]	val-error:0.242738	train-error:0.220878 
#> [1000]	val-error:0.242088	train-error:0.219790
1
2
xgbpred_prob <- predict(object = xgb1, newdata = dtest)
xgbpred <- ifelse (xgbpred_prob > 0.45,1,0)
1
2
confmat_xgb <- confusionMatrix(as.factor(xgbpred), as.factor(label_test), positive = "1")
confmat_xgb
 1
 2
 3
 4
 5
 6
 7
 8
 9
10
11
12
13
14
15
16
17
18
19
20
21
22
23
24
25
26
27
#> Confusion Matrix and Statistics
#> 
#>           Reference
#> Prediction    0    1
#>          0 7347 2255
#>          1 2732 7667
#>                                                
#>                Accuracy : 0.7507               
#>                  95% CI : (0.7446, 0.7566)     
#>     No Information Rate : 0.5039               
#>     P-Value [Acc > NIR] : < 0.00000000000000022
#>                                                
#>                   Kappa : 0.5015               
#>                                                
#>  Mcnemar's Test P-Value : 0.00000000001579     
#>                                                
#>             Sensitivity : 0.7727               
#>             Specificity : 0.7289               
#>          Pos Pred Value : 0.7373               
#>          Neg Pred Value : 0.7652               
#>              Prevalence : 0.4961               
#>          Detection Rate : 0.3833               
#>    Detection Prevalence : 0.5199               
#>       Balanced Accuracy : 0.7508               
#>                                                
#>        'Positive' Class : 1                    
#> 
 1
 2
 3
 4
 5
 6
 7
 8
 9
10
11
12
13
14
15
16
confmat_rf <- confusionMatrix(pred_rf$result,
                              test$STATUS,
                              mode = "prec_recall",
                              positive = "bad credit")

eval_rf <- tidy(confmat_rf) %>% 
  mutate(model = "Random Forest") %>%
  select(model, term, estimate) %>%
  filter(term %in% c("accuracy", "precision", "recall", "specificity"))

confmat_xgb <- confusionMatrix(as.factor(xgbpred), as.factor(label_test), positive = "1")

eval_xgb <- tidy(confmat_xgb) %>% 
  mutate(model = "XGBoost") %>% 
  select(model, term, estimate) %>% 
  filter(term %in% c("accuracy", "precision", "recall", "specificity"))

Setelah diperoleh perfomance model XGBoost kita akan membandingkan dengan perfomance model random forest.

1
2
eval_result <- rbind(eval_rf, eval_xgb)
eval_result
 1
 2
 3
 4
 5
 6
 7
 8
 9
10
11
#> # A tibble: 8 × 3
#>   model         term        estimate
#>   <chr>         <chr>          <dbl>
#> 1 Random Forest accuracy       0.812
#> 2 Random Forest specificity    0.815
#> 3 Random Forest precision      0.811
#> 4 Random Forest recall         0.809
#> 5 XGBoost       accuracy       0.751
#> 6 XGBoost       specificity    0.729
#> 7 XGBoost       precision      0.737
#> 8 XGBoost       recall         0.773

Metrics evaluasi yang kita utamakan adalah recall karena kita ingin meminimalisir mungkin keadaan dimana data actual nasabah tersebut bad credit namun terprediksi sebagai good credit. Dari hasil evaluasi dapat diketahui model XGBoost memiliki nilai recall lebih tinggi dibandingkan model random forest.

1
2
3
4
5
6
7
library(Ckmeans.1d.dp)

var_imp <- xgb.importance(model = xgb1,
                          feature_names = dimnames(dtrain)[[2]])
xgb.ggplot.importance(var_imp,top_n = 10) + 
  theme_minimal()+
  theme(legend.position = "none")
Grafik di atas menampilkan informasi mengenai 10 variabel yang paling berpengaruh pada model. Annual income dan months balance merupakan dua variabel terpenting pada model ini.
1
2
3
4
5
6
7
8
xgb_result <- data.frame(class1 = xgbpred_prob, actual = as.factor(label_test))

auc_xgb <- roc_auc(data = xgb_result, truth = actual,class1) 
value_roc_xgb <- prediction(predictions = xgbpred_prob,
                        labels = label_test)

# ROC curve
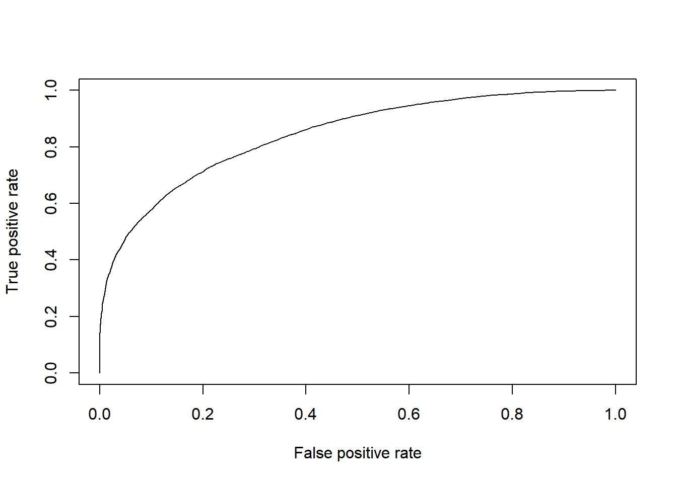
plot(performance(value_roc_xgb, "tpr", "fpr"))
1
2
value_auc_xgb <- performance(value_roc_xgb, measure = "auc")
value_auc_xgb@y.values
1
2
#> [[1]]
#> [1] 0.8434915

Nilai AUC yang diperoleh pada model model ini sebesar 0.84 artinya model dapat memprediksi dengan baik kedua target class yaitu good credit dan bad credit. Harapannya model ini dapat digunakan oleh pihak bank untuk menentukan credit scoring dengan mengisikan data profil nasabah, kemudian hasil yang diperoleh dapat di visualisasikan sebagai berikut:

 1
 2
 3
 4
 5
 6
 7
 8
 9
10
11
12
13
14
set.seed(123)
explainer <- lime(train_matrix %>% as.data.frame(), xgb1)

explanation <- explain( test_matrix[11:12, ] %>%
                          as.data.frame(),
                        explainer,
                        labels = "1",
                        n_features = 3,
                        n_permutations = 5000,
                        dist_fun = "manhattan",
                        kernel_width = 0.75,
                        feature_select = "highest_weights")

plot_features(explanation)

Hasil dari visualisasi tersebut untuk nasabah 1 dan 2 memiliki probability 0.4 dan 0.37 artinya kedua nasabah tersebut akan dikategorikan sebagai good credit. Kedua nasabah tersebut memiliki karakteristik yang mirip karena hasil prediksi mereka didukung oleh kepemilikan model dan juga total income.

Built with Hugo
Theme Stack designed by Jimmy